前言
在风荷载计算过程中,不论是静力荷载还是动力荷载,总会涉及到各种各样的系数,这些系数的取值有没有什么讲究?之前的文章中有一篇是对风阵模拟做了一个简单的梳理,我想接着那篇文章继续对风荷载计算中的各种系数做进一步的梳理,可能有些知识点比较浅,或者虽然复杂但是自己并没有讲清楚,包括里面也会涉及到一些风洞试验的理论,风洞试验与常规的荷载规范到底有什么样的区别和联系?
风荷载体型系数
结构荷载规范的条文解释:风荷载体型系数是指风作用在建筑物表面一定面积范围内所引起的平均压力(吸力)与来流风的速度压的比值,它主要是和建筑物的体型和尺度有关,也与周围环境和地面粗糙度有关。涉及的是固体与流体相互作用的流体力学问题,对于不规则形状的固体,也就变得更加的复杂,一般最好由试验确定,根据相似性原理,在边界层风洞内对拟建的建筑物模型进行测试,真实的实测方法对结构设计不现实,目前的规范都是采用相似原理,在边界层风洞内,对拟建的建筑物模型进行测试,规范中也给出了常见的体型以及体型系数(总共有38种),以下是规范中相对规则结构的风荷载体型系数的计算方法。

以上列举了六 种常用的建筑平面形状在该风向作用下,每个建筑物表面的风荷载体型系数。
从上面我们得知,风荷载体型系数只是跟建筑物的平面形状有关,而且每个面的系数都小于 1,都会有一个迎风面和背风面,所以可以这样解释:迎风面都是等效受压力面,所以为正值。相应其他面,背风面和平行面都是负值,其实就是相当一个吸力。对于已知的建筑结构,总的体型系数是这样求解的。首先是在根据风向来确定建筑物最大风向投影面积,如下面的“十字形”平面结构, 建筑物边长尺寸如图所示:



只要知道 a 和 b 的具体数值就可以按照这个公式求出风荷载体型系数。这里公式分为 两部分计算,按照最大投影面分开 (按照图中的红线) ,一部分是上部,另一部分称为下部。红线以上标示的 0.5 是下部(背风面),迎风面即就是红线以下的那部分。建筑物表面上部分按照风向最大投影面分为 3 段, a , b , a 。再依据开头给出的参考数据, +0.6 , +0.8 , +0.6 按照边长的加权值求出上部体型系数;而红色部分代表的下部是 0.5 其实也是按照边长加权求得。只是因为参考系数都是 0.5 所以综合加权值也是 0.5。
公式里的加和减是如何定义的?这里的符号只是代表风向对建筑面的效果,如“ + ”代表迎风面“-”代表背风面 。一开始列出的六种建筑平面中,有个矩形建筑背面的风荷载体型系数是一个公式, 这就说明此种情况下背风面的系数还跟建筑物的高度 H 和长度 L 相关。 再比如下图不规则六边形,边长关系如图所示:


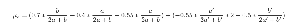
当风向不再是垂直于建筑物表面,而是有一定夹角 30 °。此种情 况下该建筑风荷载体型系数怎样计算?同理在划分上下部时,最大投影面是按照与风向接触面平行的那条线,即图示的折叠线,仍旧是上部和下部。所以计算式如下:(其中 a , b ,a 分别是建筑物 上部 边长投影到箭线的长度,这里下部可以用 a ’ ,b ’ ,a ’ 代替 ;2a+b=2a ’ +b ’ ),因此体型系数计算方法如下:

此公式也分为两部分:上部+下部,但是在上部中发现出现负号,不是说“-”是吸力,方向相同吗?这里为什么又是减号呢?其实是这样理解的, 在最大投影面的同一侧如果出现不同负号,那么肯定会用加减, 只是在不同侧时,“﹣”在运算过程中是当做同向处理。
风压高度变化系数
风压高度变化系数是一个用来描述大气中风速随高度变化的参数。它表示单位时间内风速的变化与高度变化的比值。通常来说,风速随着高度的增加而增加,这是因为在大气中存在着风阻力和摩擦力,高处空气的风阻力较小,因此风速较大。这块根据地形通常可以通过规范查表来取值,详见规范细则。
对于山区建筑、风压高度变化系数除了按照平坦地面的粗糙度类别确定外,还应考虑地形条件的修正,修正系数按照如下的公式进行相应的计算:
1、对于山峰和山坡,修正系数按照按照如下规定采用
a). 顶部B处的修正系数按照下式计算

其中:
-
tan(alpha):山峰或山坡在迎风面一侧的坡度,当该值大于0.3的时候取0.3
-
k:系数,对于山峰取值2.2,山坡取值1.4
-
H:山顶或山坡全高
-
z:建筑物计算位置离建筑物地面的高度:当z>2.5H的时候,z=2.5H
b). 其他部位的修正系数,取A C部位的修正系数1,AB之间和BC之间修正系数按线性插值来计算

2、对于山间盆地、谷地等闭塞地形,取值在0.75~0.85之间
3、对于与风口一致的谷口、山口,取值在1.2~1.5之间
风振系数、阵风系数、风荷载放大系数
风荷载放大系数是风振系数、阵风系数的统称。在全文强制标准《工程结构通用规范》第4.6.5节种提到风荷载放大系数,规范是这么规定的:

1、阵风系数(Gust Factor):阵风系数是用来考虑风的瞬时变化和不规则性,表示风速的瞬时最大值与平均风速的比值。风并不是一直以恒定的速度吹过,而是存在短暂的瞬时增加和减小,这被称为”阵风”。阵风系数用于将平均风速转化为瞬时最大风速,使得结构能够考虑到风速的瞬时变化。
2、风振系数(Aerodynamic Damping Factor):风振系数是用来考虑结构在风荷载作用下的动态振动响应。当结构受到风荷载作用时,其会发生振动。振动过程中,结构的动力特性(包括质量、刚度和阻尼)会影响振动响应的幅值和频率。风振系数描述了结构的阻尼特性对振动响应的衰减贡献。具体而言,风振系数越大,结构在受到风荷载作用时的响应越受到阻尼的影响,振动衰减得越快。
3、阵风系数主要用于考虑风速瞬时变化和不规则性,用于将平均风速转化为瞬时最大风速;而风振系数主要用于考虑结构在风荷载作用下的动态响应,描述了结构的阻尼特性对振动响应的衰减贡献。
阵风系数和风振系数是风荷载计算中使用的两个不同的参数,它们在考虑结构在风荷载作用下的动态响应时有不同的作用。《建筑结构荷载规范》中的风振系数和阵风系数都是在平均风压基础上的放大系数。它们都是因为要考虑风压随时间的上下波动(风荷载脉动)而引入的,只不过阵风系数用于围护结构,只取决于风场特性;而风振系数用于主要受力结构,除了风场特性之外还和结构的动力特性相关。规范的“风荷载放大系数”是这两个系数的统称,第4.6.5条的第1款和第2款分别规定了主要受力结构和围护结构风荷载放大系数的取值要求。
放大系数取值
这一条因为是通用设计规程,所以对所有结构的主要受力结构来说放大系数均不能小于1.2。作用于结构表面的风压时时刻刻都在发生变化,即使不考虑动力放大效应、将结构作为准静态结构(即根据Kx(t)=P(t)计算结构的响应),风荷载引起的响应也是围绕均值波动的(见下图)。只用平均风荷载进行设计,将会低估结构的响应。因此,所有工程结构在进行主要受力结构设计时,都应当考虑风荷载脉动的增大效应,在平均风荷载基础上乘以放大系数。而且根据通用规范,主要受力结构的放大系数不应小于1.2。

黑实线是结构实际响应随时间的变化,围绕着平均响应(黑色虚线)上下波动。蓝色曲线是将结构作为准静态结构时得到的响应,其脉动部分即荷载规范中的“背景分量”。《建筑结构荷载规范》第8.4.1条,规定了顺风向风振的考虑对象,一些低矮房屋和刚度较大的高耸结构不在此列。但荷载规范的条文说明也指出:这些结构原则上也应考虑风振影响,只是由于这类结构刚度较大,风振响应一般不大,不考虑风振一般不会影响其抗风安全性。《工程结构通用规范》本次明确了所有工程结构均应考虑风荷载脉动的增大效应,这是一个重要变化。
风振系数如何取值
风振系数仍然可以按照《建筑结构荷载规范》计算。此外,对于刚度较大的结构,风振系数可以参考阵风系数取值;细长、柔性的重要结构,建议进行风洞试验。
荷载规范作为技术标准,其内容经受了长期的工程实践考验,所以风振系数仍然可以按照荷载规范的规定进行计算。只是风振系数计算值低于1.2的,需要提高取值。原先不考虑风振系数的,需要考虑乘以不小于1.2的风振系数。在荷载规范未修订以前,对于刚度较大、荷载规范规定可以不考虑风振的结构,其风振效应可以只考虑“背景分量”造成的荷载放大,即将阵风系数乘以0.85当作风振系数来使用。而对于荷载规范无法涵盖的重要复杂结构或者重要的柔性建筑结构,建议进行风洞试验。
风洞试验基础知识
在结构抗风这一块主要是在学科的理论基础上运用风洞试验、现场实测或数值模拟方法,对结构在风荷载作用下的位移、加速度等结构响应,以及建筑周围风环境进行分析和评估,以确保结构的安全性和舒适性。其中研究方法主要有四种:理论研究、现场实测、风洞试验和数值模拟。
1.理论研究就是通过解析计算的方法推导出流体流场的解析解。可以用来指导风洞试验和实测方法,以及作为验证数值模拟计算的理论基础。
2.现场实测就是通过在已建成的建筑物上安装特定的测量设备,来监测结构在风荷载作用下的加速度和位移等响应以评估结构在风荷载作用下的表现。现场实测是最直接手段,但无法在建筑物建造之前评估该建筑物,可用于检验风洞试验和数值模拟的可靠度。
3.风洞试验是指在风洞实验室里人工模拟的大气边界层风场环境下,使用缩尺建筑模型对建筑结构上的风效应进行模拟再现,以研究结构风荷载作用及建筑绕流环境影响等问题。
4.数值模拟则是运用计算流体动力学原理(CFD系列软件),并结合计算机技术实现对建筑周围流场进行模拟,从而得到风作用在建筑表面的荷载。它的作用跟风洞实验类似,也称为“数值风洞”。
风洞实验室是一个环形的装置,由许多区段组成。其中试验段就是我们进行试验模型放置和地貌模拟的区段。其他区段除了维修一般是没有人进去的。另外动力段里放置着一个巨大的类似于涡轮机的装置,其作用就是产生和提供风,让气流在整个环形实验室内流动。当气流由动力段出发,流经扩散段、稳定段和收缩段,最终来到试验段。为了得到我们需要的风场,我们会对试验段进行特定地布置,以得到我们想要的风场。
主要的一些步骤:
(1) 确定项目信息
这个步骤就是要确定所要进行风洞实验的建筑的有关信息,包括建筑缩尺模型,建筑所处地区的风场地貌类型等。地貌类型主要是根据结构荷载规范上对风场地貌的四种分类选取(A B C D四种地面的粗糙度的类型)。
(2) 模拟风场地貌
在确定风场类型之后,就可以开始模拟风场地貌。风洞试验一般使用挡板、尖劈和粗糙元对地貌进行模拟
(3)通过测量检验并调节风场
在布置完风场之后,我们需要对风场的风速剖面进行测量,测量的仪器有皮托管和cobra探头等。通过获取风场中某些位置的风速时程,对这个风场的平均分剖面、湍流度和积分尺度等风场参数进行计算和评估,以确保所得到的风场满足目标风场的要求。如果不满足目标风场的要求,还要回到上一个步骤对风场进行调节。
(4)制作并检查模型
模型制作可以与风场调节同步进行,在确定了建筑的相关信息后,一般由设计方提供建筑的三维模型以及相关二维图纸,然后根据所给三维电子模型进行建筑缩尺模型的制作,模型的采用一般为塑料或木材。缩尺比的确定主要由风洞试验截面的模型堵塞率决定(建筑模型在风洞截面上的投影面积与风洞截面面积之比,一般不能超过3%)。
目前常用的风洞试验有两类,分别是天平实验和测压实验。天平实验只测量建筑模型的基底弯矩,故不需要在模型上布置测压点,实验过程比较简单和方便,只需把模型接到测力天平上。对于测压实验,在制作模型之前我们需要在建筑模型表面上布置测压点,测压点布置完后便可开始制作模型,而测压实验的模型表面上的每一个测压点都会连接一根测压管。在现在运用测量方法的情况下,在模型制作完成之后,要对每一根测压管进行检查,看是否有堵塞现象。在检查完测压管后,还要把每根测压管连接到的测量装置上。
(5) 安放模型
模型制作完毕之后,便可把模型安放都风洞中。把建筑模型放在风洞里的转盘里,通过不同地角度获取不同风向角下的风荷载数据。在转盘下面还有管线连接。
(6) 采集、处理数据并整理实验报告
对于测压实验,采集的数据主要是建筑模型各个测压点在各个风向角下所测得的风压时程;而对于天平实验,采集的数据主要是建筑模型三个方向(x,y,扭转)的基底弯矩时程。通过得到的数据便可对建筑结构进行风压分布和风振响应分析,这一部分工作由计算机程序完成。计算分析完成之后,便可以整理出风洞试验报告,以供设计方参考。
CFD数值模拟
运用数值模拟的方法来替代风洞试验,但目前数值模拟的发展程度还没有达到可以取代风洞试验的地步,其原因主要是数值模拟的计算效率和所得结果的精度还没有达到想要的要求。目前数值模拟可以分为定常模拟和非定常模拟两大类。定常的数值模拟就是对所求物理量作时间上的平均,只能得出来建筑的平均风压结果,主要代表有雷诺平均(RANS)方法。非定常的数值模拟就是把要求的物理量求在每个时间步上出来,最终可以得到该物理量关于时间变化的一段时程,如风压时程,基底弯矩时程或风速时程等。
单纯的用数值风洞是不具备参考性的,只有风洞试验的条件与仿真的条件一样,将数值模拟与风洞数据结合起来才有实际的对比意义。现阶段很多做的都是基于规范来做的,很少有基于风洞试验来做的,但是对于特殊的地形与结构做风洞试验是必不可少的工具。


